9.1. ネットワークとフローの定義

9.1.1 ネットワーク

本書では \(\mathbb{N}=\left\{ 0,1,2,\ldots\right\} \) だったことを思い出してほしい。

定義 9.1.1

ネットワーク (network) は次の要素から構成される:

  • 多重グラフ \(D=\left( V,A,\psi\right) \)

  • 入口 (source) と呼ばれる頂点 \(s \in V\)

  • 出口 (sink) と呼ばれる \(s\) と異なる頂点 \(t \in V\)

  • 容量関数 (capacity function) と呼ばれる関数 \(c\colon A\rightarrow\mathbb{N}\)

例 9.1.2

ネットワークの例を示す:

ここで \(D\) は描画されているグラフである (ループと多重辺を持たないので、弧にはラベルを付けていない)。頂点 \(s\), \(t\) は図中で \(s\), \(t\) とラベルの付いた頂点であり、関数 \(c\) の値は \(D\) の弧上に書かれている (例えば \(c\left( \left( s,p\right) \right) =3\) や \(c\left( \left( u,q\right) \right) =1\) が成り立つ)。

Remark 9.1.3

例 9.1.2 の有向グラフ \(D\) は閉路を持たず、\(\deg^{-}s=\deg^{+}t=0\) を満たす。この条件はネットワークの定義に含まれないものの、基礎的な応用の多くで満たされる。

また、例 9.1.2 では全ての容量 (容量関数の値) が正である。この条件もネットワークの定義には含まれない。しかし、多くの応用では容量が \(0\) の辺は意味を持たないので、そういった辺は無視しても問題ない。

Remark 9.1.4

ここで定義したネットワークは、数学の様々な分野に存在するネットワークと名の付く概念の一つに過ぎない。そういったネットワークの多くは大まかに捉えれば「何らかの構造を持ったグラフ」であるものの、共通点は少ない。

9.1.2 \(\overline{S}\), \(\left[ P,Q\right] \), \(d\left( P,Q\right) \) の定義

定義 9.1.5

多重有向グラフ \(D=\left( V,A,\psi\right) \)、入口 \(s \in V\)、出口 \(t \in V\)、容量関数 \(c\colon A\rightarrow\mathbb{N}\) から構成されるネットワークを \(N\) とする。このとき:

  1. 任意の弧 \(a \in A\) に対して、値 \(c\left( a\right) \in\mathbb{N}\) を弧 \(a\) の容量 (capacity) と呼ぶ。

  2. \(V\) の任意の部分集合 \(S\) に対して、\(V\) の部分集合 \(V\setminus S\) を \(\overline{S}\) と表記する。

  3. \(V\) の任意の部分集合 \(P\), \(Q\) に対して、\(P\) に属する始点と \(Q\) に属する終点を持つ辺全体の集合を \(\left[ P,Q\right] \) と表記する。つまり、次のように定める:

    \[ \left[ P,Q\right] \colonequals \left\{ a\in A\mid \psi\left( a\right) \in P\times Q\right\} \]
  4. \(V\) の任意の部分集合 \(P\), \(Q\) と任意の関数 \(d\colon A\rightarrow\mathbb{N}\) に対して、値 \(d\left( P,Q\right) \in\mathbb{N}\) を次のように定義する:

    \[ d\left( P,Q\right) \colonequals \sum_{a\in\left[ P,Q\right] }d\left( a\right) \]

    [特に、この定義で \(d=c\) とすれば \(c\left( P,Q\right) =\sum\limits_{a\in\left[ P,Q\right] }c\left( a\right) \) を得る。]

例 9.1.6

例 9.1.2 のネットワークをもう一度考える。\(V\) の部分集合 \(\left\{ s,u\right\} \) に対して次の等式が成り立つ:

\[ \begin{aligned} \overline{\left\{ s,u\right\} } &= \left\{ p,v,q,t\right\} \\ \left[ \left\{ s,u\right\} ,\overline{\left\{ s,u\right\} }\right] &= \left\{ sp,\ uv,\ uq\right\} \end{aligned} \]

[この例で \(D\) はループと平行辺を持たないので、弧を頂点の組として表記している。] また、次の等式も成り立つ:

\[ \begin{aligned} c\left( \left\{ s,u\right\} ,\overline{\left\{ s,u\right\} }\right) & =\sum_{a\in\left[ \left\{ s,u\right\},\,\overline{\left\{ s,u\right\} }\right] }c\left( a\right) \\ & = c\left( sp\right) + c\left( uv\right)+ c\left( uq\right) \\ & = 3+1+1 \\ & = 5 \end{aligned} \]

\(\left\{ s,u\right\} \) と \(\overline{\left\{ s,u\right\} }\) の「境界」をネットワークの描画に加えると、この等式を視覚的に表現できる:

赤い線で書かれた「境界」の左側が \(\left\{ s,u\right\} \) であり、右側が \(\overline{\left\{ s,u\right\} }\) である。この境界を \(\left\{ s,u\right\} \) 側から \(\overline{\left\{ s,u\right\} }\) 側へと横断する辺全体の集合が \(\left[ \left\{ s,u\right\},\,\overline{\left\{ s,u\right\} }\right] \) に等しい。 [もちろん、この視覚化は \(d\left( P,\overline{P}\right) \) の形をした和しか扱えず、共通要素を持つ二つの集合 \(P\), \(Q\) に対する \(d\left( P,Q\right) \) は上手く扱えない。しかし、実用上で最も重要なのは \(d\left( P,\overline{P}\right) \) の形をした和である。]

練習問題 9.1

\(D=\left( V,A,\psi\right) \) を平衡な多重有向グラフとする。\(V\) の任意の部分集合 \(S\) に対して、\(\overline{S}\colonequals V\setminus S\) と定める。\(V\) の任意の部分集合 \(S\), \(T\) に対して、\(\left[ S,T\right]\) を次のように定める:

\[ \left[ S,T\right] \colonequals \left\{ a\in A\mid (a \text{ の始点}) \in S,\ \ (a \text{ の終点}) \in T \right\} \]

\(V\) の任意の部分集合 \(S\) に対して \(\left\vert \left[ S,\overline{S}\right] \right\vert =\left\vert \left[ \overline{S},S\right] \right\vert \) だと示せ。

広告

9.1.3 フロー

続いてネットワーク上のフローを定義する:

定義 9.1.7

多重有向グラフ \(D=\left( V,A,\psi\right) \)、入口 \(s \in V\)、出口 \(t \in V\)、容量関数 \(c\colon A\rightarrow\mathbb{N}\) から構成されるネットワークを \(N\) とする。

ネットワーク \(N\) 上のフロー (flow) とは、次の条件を満たす関数 \(f\colon A\rightarrow \mathbb{N}\) を意味する:

  • 任意の弧 \(a \in A\) で \(0\leq f\left( a\right) \leq c\left( a\right) \) が成り立つ。この条件は容量制約 (capacity constraints) と呼ばれる (弧 \(a \in A\) ごとに制約があるので、複数形を用いる)。

  • 任意の頂点 \(v\in V\setminus\left\{ s,t\right\} \) が次の等式を満たす:

    \[ f^{-}\left( v\right) = f^{+}\left( v\right) \]

    ここで \(f^{-}\) と \(f^{+}\) は次のように定義される:

    \[ f^{-}\left( v\right) \colonequals \hspace{-8pt} \sum_{\substack{a\in A;\\[2pt] a \text{ の終点は } v}} \hspace{-10pt} f\left( a\right) \qquad \quad f^{+}\left( v\right) \colonequals \hspace{-8pt} \sum_{\substack{a\in A;\\[2pt] a \text{ の始点は } v}} \hspace{-10pt} f\left( a\right) \]

    この条件は保存制約 (conservation constraints) と呼ばれる。

フロー \(f\colon A\rightarrow\mathbb{N}\) と弧 \(a \in A\) に対して、値 \(f\left( a\right) \) を \(a\) における \(f\) の弧流量 (arc flow) と呼ぶ。

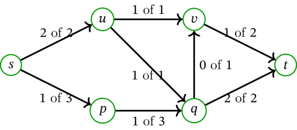
例 9.1.7

本書でネットワーク \(N\) 上のフロー \(f\) を描画するときは、ネットワークの描画と同様に \(N\) を構成する多重有向グラフを描画し、その上で各辺 \(a \in A\) の上に (容量 \(c\left( a\right) \) ではなく)「\(f\left( a\right)\, \) of \(\,c\left( a\right) \)」と書く。例 9.1.2 のネットワーク上のフロー \(f\) の描画を示す:

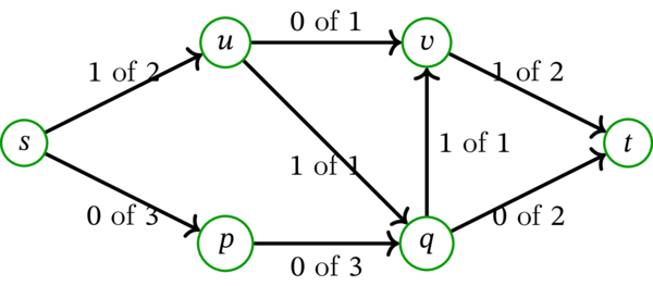
[このフローでは例えば \(f\left( su\right) =2\), \(\ f\left( pq\right) =1\), \(\ f\left( qv\right) =0\) などが成り立つ。] 同じネットワーク上の異なるフロー \(g\) を考えることもできる:

ネットワーク \(N\) と \(N\) 上のフローを直感的に捉える方法はいくつかある:

言うまでもなく、こういった例は直感的にフローを理解するためだけにある。現実世界の応用で用いられるフローはここで紹介したフローといくらか異なる。

Remark 9.1.8

ネットワーク \(N\) 上のフローはネットワークを構成する多重有向グラフ \(D\) の路を一般化した概念とみなせる。実際、ネットワーク \(N\) を構成する多重有向グラフ \(D=\left( V,A,\psi\right) \) における \(s\) から \(t\) への路を \(\mathbf{p}\) とするとき、\(N\) 上のフロー \(f_{\mathbf{p}}\) を次のように定義できる:

\[ f_{\mathbf{p}}\left( a\right) = \begin{cases} 1 & (a \text{ が } \mathbf{p} \text{ の弧のとき}) \\ 0 & (\text{その他のとき}) \end{cases} \qquad (\forall a\in A) \]

ここでは \(\mathbf{p}\) の全ての弧が \(1\) 以上の容量を持つと仮定している。例 9.1.7 のフロー \(g\) はそのようなフローの例である。

9.1.4 入流量、出流量、フローの値

続いて、ネットワーク上のフローに関連付く値を定義する:

定義 9.1.9

多重有向グラフ \(D=\left( V,A,\psi\right) \)、入口 \(s \in V\)、出口 \(t \in V\)、容量関数 \(c\colon A\rightarrow\mathbb{N}\) から構成されるネットワークを \(N\) とする。\(f\colon A\rightarrow\mathbb{N}\) を任意の写像 (例えば \(N\) 上のフロー) とする。このとき:

  1. 任意の頂点 \(v \in V\) に対して、\(f^{-}\left( v\right)\) と \(f^{+}\left( v\right)\) を次のように定める:

    \[ f^{-}\left( v\right) \colonequals \hspace{-8pt} \sum_{\substack{a\in A;\\[2pt] a \text{ の終点は } v}} \hspace{-10pt} f\left( a\right) \qquad \quad f^{+}\left( v\right) \colonequals \hspace{-8pt} \sum_{\substack{a\in A;\\[2pt] a \text{ の始点は } v}} \hspace{-10pt} f\left( a\right) \]

    \(f^{-}\left( v\right) \) を \(f\) における \(v\) への入流量 (inflow) と呼び、\(f^{+}\left( v\right) \) を \(f\) における \(v\) からの出流量 (outflow) と呼ぶ。

  2. 値 \(f^{+}\left( s\right) -f^{-}\left( s\right) \) を写像 \(f\) の (value) と定義し、\(\left\vert f\right\vert \) と表記する。

例 9.1.10

例 9.1.7 のフロー \(f\) は次の等式を満たす:

\[ \begin{aligned} f^{+}\left( s\right) & =3,\ \ \ \ \ \ \ \ \ \ f^{-}\left( s\right) =0,\\ f^{+}\left( u\right) & =f^{-}\left( u\right) =2,\\ f^{+}\left( p\right) & =f^{-}\left( p\right) =1,\\ f^{+}\left( v\right) & =f^{-}\left( v\right) =1,\\ f^{+}\left( q\right) & =f^{-}\left( q\right) =2,,\\ f^{+}\left( t\right) & =0,\ \ \ \ \ \ \ \ \ \ f^{-}\left( t\right) =3 \end{aligned} \]

また、\(f\) の値は \(3\) であり、\(\left\vert f\right\vert =3\) が成り立つ。例 9.1.7 のフロー \(g\) では \(\left\vert g\right\vert =1\) となる。より一般的に言うと、Remark 9.1.8 のように定めたフロー \(f_{\mathbf{p}}\) は常に \(\left\vert f_{\mathbf{p}}\right\vert =1\) を満たす。

例 9.1.11

任意のネットワーク \(N\) に対して、\(N\) 上の零フロー (zero flow) を定義できる。このフロー \(0_{A}\colon A\rightarrow\mathbb{N}\) は任意の弧 \(a \in A\) を \(0\) に移す写像である。このフローの値は \(0\) である。

広告